径河化工 助您成功
生产精细化工产品的专业性公司

径河化工 助您成功
生产精细化工产品的专业性公司
客户服务热线
027-83231898
产品展示
Product display
全国服务热线
027-83231898

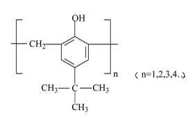
化学名称:对叔丁基苯酚甲醛树脂
结构式:

CAS NO.:25085-50-1
技术指标:
项目 | 指标 | ||
0 | I | II | |
外观 | 黄色至褐色块状或粒状 | ||
软化点(环球法,5℃/min)℃ | 118-132 | 130-144 | 142-157 |
皂化值 mgKOH/g ≦ | … | … | 60 |
游离酚 %≦ | 2.0 | ||
灰分 %≦ | 1.0 | ||
性质:本品相当于Koresin树脂(德国)、Durez26799,密度1.05g/cm3。溶于苯、甲醛、二甲苯、烃、酯、丁酮、氯仿等有机溶剂,不溶于水。为热塑性树脂。
用途:204增粘树脂是各种合成胶和天然胶的粘合增进剂,特别是对丁苯、丁腈、氯丁胶效果更好,主要用于合成胶用量大且要求加工粘合性能好的橡胶制品,如轮胎、运输带、胶管、胶辊等橡胶制品,尤其用于子午胎可有效解决胶料粘性问题,提高胎胚成型质量及成品性能,推荐用量2-6份。本品除增粘作用外,还有增塑剂和软化剂作用。
储存:储存于室内,干燥通风,防高温、防火。储存期为1年
包装:复合纸袋,内衬塑料薄膜袋,净重25公斤。